📊 Strategic Segment Analysis Visualizations

Charts & Graphs for Strategic Customer Segments

📊 Strategic Segment Visualizations Charts & Graphs for Strategic Customer Segments
View Visualizations:

Strategic Segment Visualizations

All visualizations are high-resolution (300 DPI) and ready for presentations. Click any chart to view full-size. These charts show five strategic customer segments (Segments A-E) based on Jobs-to-be-Done analysis of 500 survey responses.

1. Segment Distribution

Segment Distribution Analysis

Distribution of 500 survey responses across 5 strategic customer segments (Segments A-E)

This visualization shows:

  • Even distribution across strategic segments
  • Segment sizes ranging from 84 to 112 respondents
  • Each segment represents distinct Jobs-to-be-Done and customer needs
  • Color-coded segments (A-E) for easy identification across all charts

Key Insight: Well-balanced strategic segments provide robust foundation for targeted pricing and product positioning decisions.

2. Willingness to Pay Analysis by Segment

Segment WTP Box Plot Analysis

Box plots showing WTP distribution for each segment with mean and median markers

Comprehensive WTP analysis:

  • Clear differentiation in willingness to pay across segments
  • Statistical markers showing quartiles, outliers, and central tendencies
  • Wide variance within segments indicates pricing flexibility
  • Overlapping distributions suggest opportunities for value-based positioning

Key Insight: Strategic segments show distinct WTP profiles enabling targeted pricing strategies for each customer group.

3. Feature Preferences by Segment

Segment Feature Preferences Heatmap

Heatmap showing which hosting features are most valued by each segment

Feature preference analysis:

  • Color intensity indicates feature importance within each segment
  • Distinct patterns reveal segment-specific needs and priorities
  • Universal features (high across all segments) vs segment-specific differentiators
  • Feature bundling opportunities identified by correlation patterns

Key Insight: Different segments prioritize different features - one-size-fits-all packaging misses revenue opportunity.

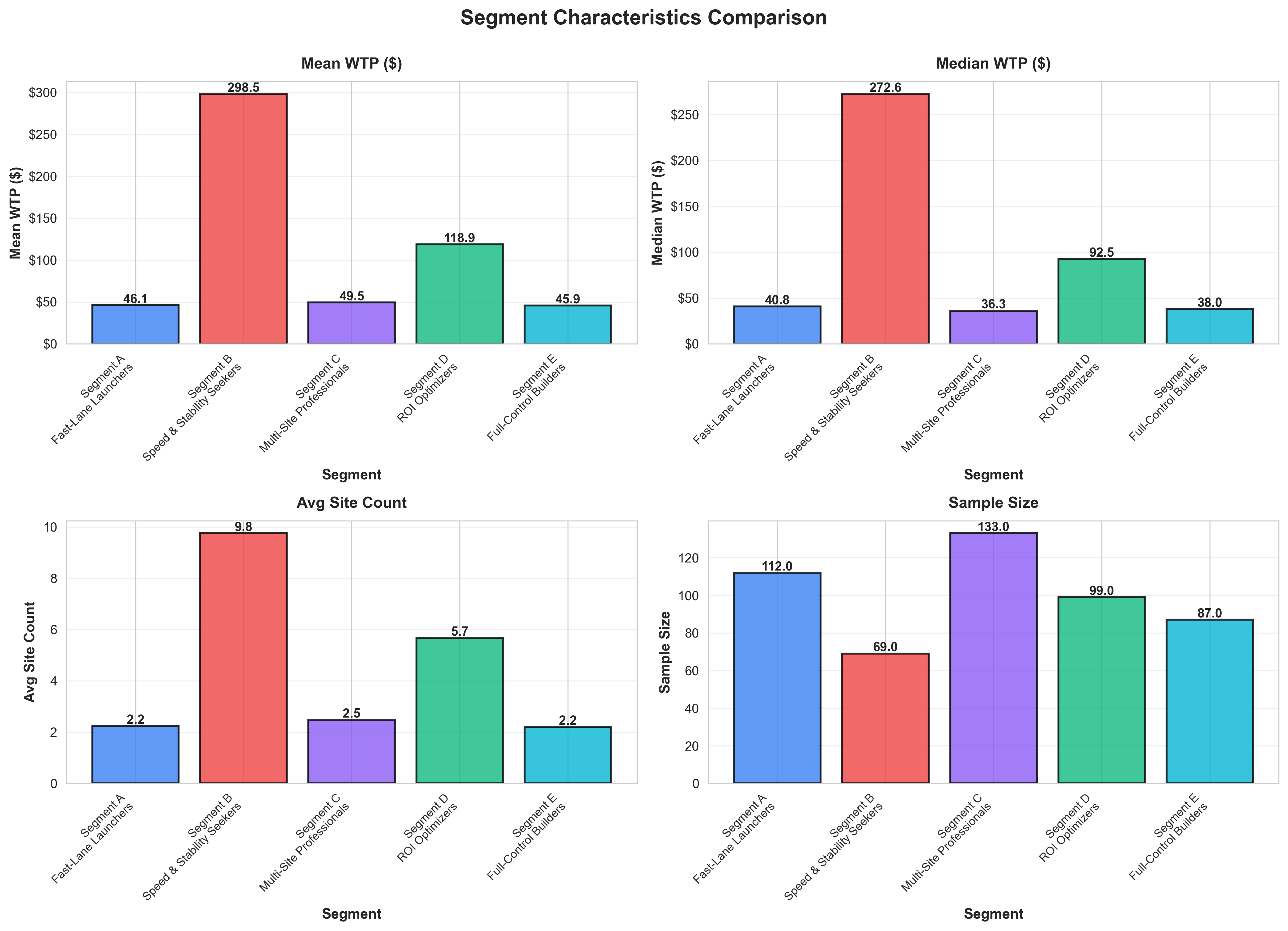
4. Segment Characteristics Comparison

Segment Characteristics Analysis

Comparative analysis of key metrics across all 5 strategic segments (A-E)

Multi-dimensional segment profiling:

  • Comprehensive comparison of WTP, feature preferences, and behavior
  • Clear segment differentiation across multiple dimensions
  • Statistical validation of segment distinctiveness
  • Actionable profiles for marketing and product positioning

Key Insight: Strategic segments reveal distinct customer Jobs-to-be-Done that align with real customer needs and priorities.

📈 Chart Generation Details

Technical Specifications

  • Resolution: 300 DPI (print-ready quality)
  • Format: PNG with transparency support
  • Dimensions: 1200×800 pixels (standard), 1600×1200 (multi-panel)
  • Libraries: matplotlib 3.5+, seaborn 0.11+, scikit-learn
  • Segmentation: 5 strategic segments based on Jobs-to-be-Done framework (Segments A-E)
  • Style: Professional whitegrid theme with custom color palettes
  • Accessibility: Color-blind friendly palettes used

Regeneration Instructions

All segment visualizations can be regenerated by running the segmentation analysis script:

cd /Users/dkuciel/Visual\ Studio\ Code/2025-11\ WTP\ 2.0
python3 analyze_segments.py

Charts will be saved to the analysis/ directory with identical filenames.

Segment Analysis Data

Download the complete segment profiles with statistical summaries: